别再四处互粉增粉了!你的关心总数会影响到你社交媒体账户的风采
关心:萌面笨博士研究生,关心知名品牌,关心社交媒体营销,关心创新商业模式!
如果有在试着经营社交媒体微博的朋友们一定了解,经营前期的增粉环节是十分困难的。你一方面要不断导出有價值的內容,另一方面要承受著作无人过问的压抑。
如果你点开浏览器搜索“怎么才能增粉”、要想看一下有哪些救自身于深谷当中的好方法时,你极有可能见到下列提议:
再如果你检索“互粉微信聊天群”时,能见到周边有很多早已创建起來的规模性社群营销。而这种微信群的效果也只有一个,便是给予让大伙儿“抱团取暖”的方式。
这类互相帮助的方式虽然能在短时间以内产生形象化的粉丝们提高,乃至如果你充足“努力”一周以内增粉一千也不是哪些难题,可是这一方式确实有益于长期性发展趋势吗?
去除內容品质、经营方法等本质要素,互粉产生的同时危害便是账户自身“关心总数”的垂直升高。这一转变很有可能听起来无关紧要,可是事实上它则是危害大家评定你账户使用价值的形象化案件线索。
来源于华盛顿大学的学者Francesca Valsesia与来源于南加利福尼亚大学的学者Davide Proserpio和Joseph C. Nunes协作发觉,对于这些粉丝们总数在1000-100000中间的客户,她们关心别的用户的次数会影响他人对她们知名度的分辨。从总体上,大家广泛认为这些关心总数非常大的时尚博主的知名度是更低的。
此项调查与2020年发布在Journal of Marketing Research上。
当周边的信息内容匮乏时,大家一直会依靠一些立刻所及的关键点问题来协助孩子产生建议或作出决策。创作者明确提出,认知主体性是此项探讨的重要自变量。主体性考量的是大家依照自身的价值观念做事、不会受到别人危害的水平。而这些关心过多别的用户的时尚博主会被大家推断是欠缺自身观念、非常容易随大流的人,即对别人危害的易感基因很高。目前参考文献早已证实,本人知名度通常与他的主体性呈显著的成反比。从而,本分析的创作者推论,在社交媒体上关心别人总数太多会促使这个人被觉得是主体性更差的,从而减少大家对其知名度的觉察及其后面的参加意向。
最先,科学研究工作人员抓取了Twitter(twiter,英国著名社交媒体)上于2016年9月16号在洛杉矶市版面下由粉丝们总数不超过100000的客户发表的原创设计twiter,总共447793条。为了更好地检测主效用的存有,科学研究工作人员从內容特点和客户特点2个层面,详尽纪录了每条twiter的特性(见表1)。从总体上,內容特点包含关注点赞和转发的总数、外链、照片、短视频、金融业标记、@别的用户、标识的数目及其传出時间;客户特点包含,客户关心总数、ID名字、创建账户的時间、粉丝们总数、已公布的twiter数量、得到关注点赞数量及其能否被验证。除此之外,为了更好地操纵文字信息的感情特点,科学研究工作人员应用了LIWC(Linguistic Inquiry and Word Count)的全自动文本分析方式评定了每条twiter在积极主动,焦虑情绪,恼怒,忧伤和提升心态上的表述水平。
表1 方式自变量归纳
|
_ |
指标值 |
|
|
內容特点 |
內容 |
关注点赞和转发的总数、外链、照片、短视频、金融业标记、@别的用户、标识的总数、传出時间 |
|
心态 |
积极主动,焦虑,恼怒,忧伤 和提升心态 |
|
|
客户特点 |
客户关心总数、ID名字、创建账户的時间、粉丝们总数、已公布的twiter数量、得到关注点赞数量、是不是被验证 |
|
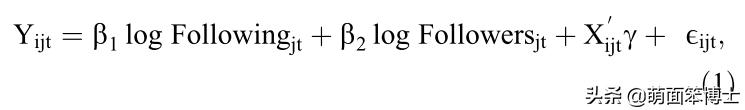
全部的自变量都被带入了以下的方程式之中,
Yijt = j客户在t时时刻刻写的twiteri获得的关注点赞或转发总数
Followingjt =j客户在t时时刻刻的关心总数
Folloewersjt =j客户在t时时刻刻的粉丝们总数
Xijt = j客户在t时时刻刻写的twiteri所具有的各种各样特性(客户特点 內容特点)
在以上方程式中,指数β1考量的便是本分析的主效用,即维持粉丝们匀速运动的情形下,关注者总数对关注点赞总数的危害。
以关注点赞总数为例子,负二项重归的数据显示,β1的标值明显为负(-0.24, p < 0.001),即该客户关心的用户数每提升1%,其接到的“赞”便会降低约0.24%个。β2的标值明显为正(0.63, p < 0.001),即粉丝们越大的客户每条twiter得到的关注点赞越多。伴随着别的调节变量的添加,β1和β2的标值沒有产生突出的转变,这表明以上结果是稳定存有的。当关心总数和粉丝们总数的交互项被带入方程式时获得的指数提升为负,这表明粉丝们总数对主效用具有缓冲作用。
图1 关心总数对关注点赞总数的效用結果
图2 关心总数对转发数量的效用結果
为了更好地进一步认证该效用的内部体制,科学研究工作人员又设计方案了四个试验室试验。
最先,科学研究员工在第一项试验中邀约276位在校大学生(在其中女孩有137名)参加试验,她们被任意分派到2(关心总数:多vs.少)×2(粉丝们总数:多vs.少)组里。每一位被试都将见到同一位ins博主的首页(如下图3所显示),里边的信息内容仅有关心总数和粉丝们总数存有差别。接着,规定被试报告她们对这名时尚博主知名度的认知。最终除开统计分析基本上的人口数量信息内容外,做为控制检测让被试追忆这名时尚博主的关心总数。
图3 试验2低中关心总数 高粉丝们总数组的试验原材料
方差分析的数据显示(如下图4所显示),在少粉丝们总数情景下,关心总数的是多少不容易危害大家对竞争力的认知;在多粉丝们总数情景下,大家觉得低关心总数的时尚博主更具备知名度。换句话说,关心总数只有变成分辨早已具备一定粉丝们基本时尚博主的知名度的案件线索。
图4 试验2数据信息結果
知名度的认知差别会给大家的后面个人行为产生哪些不良影响呢?
科学研究工作人员再次在试验室中进行了和上一个试验步骤相近的试验,共集结了315位在校大学生被试,并将学生任意分派到高关心总数和低关心总数2组中。试验原材料中除开展现时尚博主的首页外,还另附了一条全新的twiter。被试除开必须点评认知到的主体性和知名度之外,还需要报告自身关注点赞和转发该twiter的概率。
方差分析的数据显示,不论是在主体性认知、知名度认知,或是在之后的关注点赞和转发意向上,低关心总数组被试的得分明显高过高关心总数组被试。除此之外,中介公司检测的结果显示,认知主体性和认知知名度的持续中介作用明显存有。
在别的试验中,科学研究工作人员进一步发觉,当人为因素给予详细介绍时尚博主知名度的信息内容时,关心总数对认知知名度的功效不会再发生。这是由于外界信息内容的可继发性提升时,大家就不容易依靠研讨式的生产方法来开展案件线索推论。
互粉增粉,是许多新手经营者在被数据信息摧残时的一线希望。可是别忘记,经营社交媒体账户的初衷自始至终是传送有價值的內容给客户好朋友。新媒体时代的时期,坚守初心才更还有机会守得云开见月明。
确实不好,我们专业创建个大号来和别人互相帮助也不是不能~
论文参考文献:Valsesia, F. & Proserpio, D. (2020). The Positive Effect of Not Following Others on Social Media. Journal of Marketing Research, 57(6), 1152-1168.
END
by 张谱月
关心:萌面笨博士研究生,关心知名品牌,关心社交媒体营销,关心创新商业模式!
<
亿软阁微营销
